MPF cobra lista de carros locados que Wellington Dias está usando na pandemia
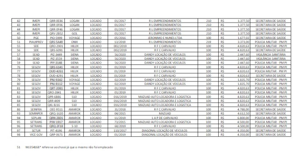
É possível constatar que existem veículos que não aparecem na lista (número 1, 6, 8 etc). A numeração vai até a 98, mas apenas 60 veículos estão na lista

O Governo do Piauí foi cobrado e obrigado a responder ao Ofício nº 51/2020-PR-PI/GABPR7 referente a Notícia de Fato n° 1.27.000.000361/2020-1, do Ministério Público Federal, e informar a lista de 150 veículos que divulgou na imprensa que seriam usados no combate à pandemia do coronavírus.
A medida do MPF foi provocada pelo procurador da República Antônio Cavalcante de Oliveira Júnior após informações circularem nas redes sociais sobre possíveis irregularidades do governo de Wellington Dias para manter pagamentos das locadoras.
Para saber se o Governo de Wellington Dias está falando a verdade, é bom lembrar a matéria do próprio site do governo informando que tinha disponibilizado 150 veículos para o combate à pandemia. Mas, para o MPF o Governo de Wellington Dias informou quantidade muito menor que isso.
ONDE ESTÃO OS 150 VEÍCULOS?
Assim, a lista encaminhada pelo Karnak para o Ministério Público Federal não está batendo. O blog Código do Poder teve acesso a duas listas com exclusividade. Em uma delas, são 60 veículos locados de diversas secretarias que teriam sido distribuídos principalmente para a Polícia Militar. Ao todo, por esses 60 veículos, o governo paga mensalmente R$ 188,2 mil para as locadoras. É possível constatar que existem veículos que não aparecem na lista (número 1, 6, 8 etc). A numeração vai até a 98, mas apenas 60 veículos estão na lista.
Desses 60 veículos, apenas 20 foram distribuídos para a Secretaria Estadual de Saúde. A maioria foi para a Polícia Militar, o que demonstra a falta de estrutura que está vivendo a segurança pública piauiense.
Em outra lista que o blog teve acesso (mas, o MPF não), constam apenas 15 veículos da própria administração pública e os demais veículos já constam na resposta encaminhada ao procurador Antônio Cavalcante de Oliveira Júnior.






